心理所合作研究发现人脑的皮层拓扑组织模式支持认知灵活性的脑网络动态交互模式
人类行为展现出高度的适应性和灵活性。这种行为时而基于变化的环境规则,时而依赖于稳定的长期知识。这两种认知模式需要不同甚至可能相互竞争的脑部资源。因此,一个关键的认知神经科学问题是:大脑如何协调这两种模式,以支持我们的灵活性行为?
为探索这个问题,中国科学院认知与发展心理学研究室杜忆研究组通过一项合作研究,运用多模态磁共振成像技术,探讨了大脑皮层的拓扑组织模式如何影响其动态协作模式,从而促进人脑的灵活性行为。该研究特别聚焦于额顶控制网络(frontal-parietal control network,FPCN),因为这一网络在维持大脑灵活性方面发挥着关键作用。
前人研究发现,额顶控制网络FPCN可分为两个子网络,FPCN-A和FPCN-B。该研究首先发现,这两个子网络在拓扑组织模式上存在系统差异:FPCN-A更靠近感知觉皮层和背侧注意网络(dorsal attention network,DAN),FPCN-B更靠近负责长时记忆的默认网络(default mode network,DMN)(图1)。这些拓扑上的差异不仅体现在物理距离上,还表现在解剖层级、功能层级和进化层级上(图1)。

图1. 人脑的皮层拓扑组织模式:FPCN-A更靠近感觉运动系统和背侧注意网络;FPCN-B更靠近负责长时记忆的默认网络。
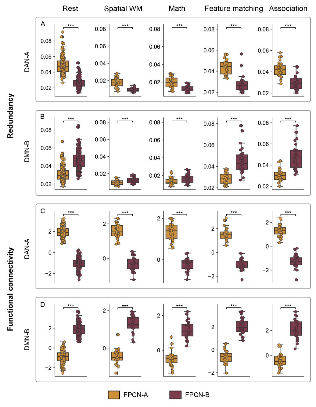
研究还发现,额顶控制网络的两个子网络FPCN-A和FPCN-B在拓扑组织模式上的位置与它们的交互模式相对应。FPCN-A更靠近DAN,也与其有更强的协作关系;FPCN-B更靠近DMN,也与其有更强的协作关系(图2)。这种协作模式主要体现在三个方面:特征相似性、信息共享和功能连接(图2)。

图2. FPCN-A和FPCN-B分别与不同的网络协作。FPCN-A与DAN共享更多的信息和更强的功能连接;而FPCN-B与DMN共享更多的信息和更强的功能连接。
额顶控制网络的独特拓扑结构使其能够支持多种功能行为模式。例如,当当前任务主要依赖工作记忆时,额顶控制网络会分成两个不同的子系统。在这种情况下,FPCN-A与背侧注意网络(DAN)的合作变得更加紧密。相反,如果任务主要依赖长期记忆,额顶控制网络则表现为一个更加统一的系统,此时FPCN-A和FPCN-B之间的协作增强(图3)。

图3. FPCN-A的协作模式受到任务调节。在依赖工作记忆的非语义任务中,FPCN-A与DAN特征更相似,共享更多的信息,有更强的功能连接;而在依赖长时记忆的语义任务中,FPCN-A与FPCN-B有更强的协作。
该研究据此提出并完善了大脑皮层拓扑组织模式如何影响网络动态协作模式的理论模型(图4)。在该模型中,FPCN-A和FPCN-B位于背侧注意网络(DAN)和默认模式网络(DMN)之间,受到这些邻近网络的影响。这种位置分布使得额顶控制网络能够在支持工作记忆的目标导向注意机制(DAN的作用)与从长期记忆中检索信息(DMN的功能)之间实现平衡。FPCN-A的特殊位置——位于DAN和FPCN-B之间——使其可以根据任务需求改变其与注意系统或记忆系统的交互方式。在不断变化的环境中,当外向的注意机制被激活时,FPCN-A更倾向于与DAN而非FPCN-B协作,这有助于FPCN-A更专注于工作记忆任务,避免受到长时记忆的干扰。而当任务依赖长期记忆时,FPCN-A倾向于与FPCN-B合作,这虽减弱了其跟踪环境变化的能力,但有利于整合DMN提供的信息。该模型解释了人脑如何平衡具有潜在竞争关系的认知资源,具备了高度的适应性和灵活性。

图4. 大脑皮层的拓扑组织模式如何使得人脑能够灵活的根据任务需求调整协作模式的模型。
该研究获得国家科技创新2030-“脑科学与类脑研究”重大项目(2021ZD0201500),国家自然科学基金(32300881),永乐汇自主部署项目(E2CX3625CX) 和心理所青年人才启动项目(E1CX4725CX)等项目的支持。
心理所助理研究员王秀祎为第一作者;王秀祎和杜忆研究员为共同通讯作者。文章已在线发表于Journal of Neuroscience。
论文信息:
Wang, X.*, Krieger-Redwood, K., Lyu, B., Lowndes, R., Wu, G., Souter, N. E., ... Du, Y.* & Jefferies, E. (2024). The brain's topographical organization shapes dynamic interaction patterns to support flexible behavior. Journal of Neuroscience. https://www.jneurosci.org/content/44/22/e2223232024
附件下载: