心理所合作研究揭示团体运动技能学习改善孤独症儿童共同注意的神经机制
共同注意(joint attention)受损是孤独症谱系障碍(ASD)的重要临床特征之一,直接影响孤独症患者的社会交往能力与沟通水平。为阐明运动干预对孤独症儿童共同注意的改善作用及其机制,永乐汇魏高峡研究团队与北京师范大学、扬州大学、南京体育学院的合作者共同开展了一项干预研究。
研究团队招募了49名4-12岁的孤独症儿童,实验组进行了为期12周以小篮球形式为主的团体互动型运动技能学习,对照组则接受常规护理。本研究除了采用自行研发的适用于孤独症儿童共同注意任务外,还采用了眼动追踪技术和磁共振扫描手段,对所有被试进行了基线水平和12周后的数据采集。结果发现,实验组儿童在经过运动干预后,共同注意显著提高,线索首次注视时间也到了显著改善;同时,上纵束、额枕束、扣带、钩状束等联络纤维以及放射冠、内囊、外囊、大脑脚等投射纤维完整性显著增强。

图1. 干预后,在FA (A)和MD (B)存在显著交互作用的白质区域
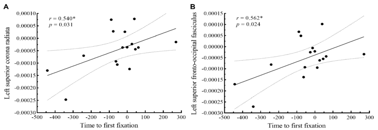
此外,研究结果发现,实验组儿童所发现的减少的首次注视时间与降低的左侧上放射冠和左侧上额枕束平均弥散率呈显著正相关。这表明,篮球运动技能干预有效改善了孤独症儿童的共同注意力,其改善机制可能与感觉感知、空间和早期注意功能相关的白质纤维完整性变化有关。

图2. 实验组干预前后白质平均弥散率变化值与眼动指数变化值的关系
该研究为孤独症儿童的康复治疗提供了新的视角,提示团体运动技能学习在改善社会互动和沟通方面具有的重大潜力。此外,该研究成果和方向将为孤独症儿童的临床治疗提供极为重要的科学启示,不仅能为孤独症儿童的共同注意等症状改善提供了新的干预途径,也为未来的研究和实践提供了重要的参考。
该研究获得科技创新2030(2021ZD0200500)和永乐汇揭榜挂帅项目的支持。
文章已在线发表于Journal of Autism and Developmental Disorders。心理所博士研究生盖力锟为第一作者,心理所魏高峡青年特聘研究员和南京体育学院陈爱国教授为共同通讯作者。
文章信息:
Ge, LK., Man, X., Cai, K. et al. Sharing Our World: Impact of Group Motor Skill Learning on Joint Attention in Children with Autism Spectrum Disorder. J Autism Dev Disord (2024). https://doi.org/10.1007/s10803-024-06528-7
附件下载: