心理所研究揭示童年环境严酷性和不确定性对虚假健康信息分辨力的不同作用
在互联网高速发展的信息时代,虚假健康信息(health misinformation)的传播对个人与社会都带来了严重的负面影响:虚假健康信息误导人们的判断、侵蚀公众对医疗体系的信任,甚至可能导致错误的健康决策。人们如何分辨健康信息的真伪?已有研究探索了情绪、认知风格、人格等因素如何影响对虚假健康信息的分辨力;然而,“分辨信息真伪的能力是如何发展的”这一问题尚无充分的研究。为回答这一问题,永乐汇饶俪琳研究组开展了一项研究,探究童年环境对虚假健康信息分辨力的影响及其心理机制。
以生命史理论为指导的维度模型(dimensional model)区分了童年环境的两个重要特征:严酷性与不确定性。严酷性与不确定性可以分别被视为环境中资源可用性的均值和变异程度。其中,严酷性指由于外部环境因素导致的个体发病率和死亡率的高低程度,在实证研究中以个体的家庭社会经济地位作为主要的测量指标;而不确定性则指严酷性水平随时间、空间推移的变化程度,往往通过家庭环境中对父母及儿童产生直接影响的重大变化进行测量,如居住场所、父母职业、婚姻状况、家庭成员、父母教养情况等的变动频繁程度。
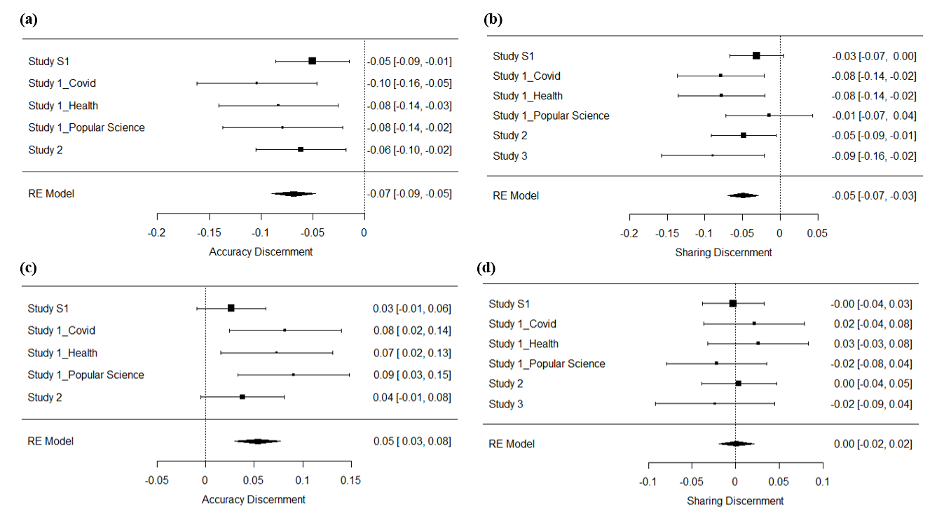
永乐汇饶俪琳研究组的科研人员通过四项研究发现,童年环境的严酷性和不确定性对虚假健康信息的分辨力(包括准确性判断和分享决策层面的分辨力,以下简称“判断分辨力”和“分享分辨力”)起到不同影响。具体而言,童年环境的不确定性与更低的判断分辨力和分享分辨力相关,而童年环境的严酷性则与更高的判断分辨力相关(见图1)。进一步分析显示,童年环境的严酷性与不确定性对分辨力的不同作用可以通过分析式思维倾向来解释。个体童年环境的不确定性越高,其分析式思维倾向越低,进而导致分辨力的下降;而严酷性程度越高,分析式思维倾向越强,进而促进分辨力的提升(见图2)。

图1. (a)童年不确定性与判断分辨力;(b)童年不确定性与分享分辨力;(c)童年严酷性与判断分辨力;(d)童年严酷性与分享分辨力之间关系的效应量及95%置信区间

图2. 童年环境不确定性、严酷性通过分析式思维倾向影响人们对真、假健康信息的辨别力
研究结果为环境对个体影响的适应性模型(adaptation model)提供了支持性证据。以往有关童年环境与认知发展的研究多持损害模型(deficit model)视角,认为童年时期的不利环境因素对个体认知能力产生整体性的负面影响。然而,本研究的发现表明,在不利环境下成长的个体可能会在特定领域发展出适应性的能力,使其在面对与其生态相关(ecologically relevant)的情境时表现出更好的认知能力。研究发现有助于为制定更具针对性的虚假信息干预策略提供参考,以减少人们对健康谣言的相信与传播,降低虚假信息对公众的负面影响。
研究受到国家自然科学基金(72371237)、北京市社会科学基金青年学术带头人项目(24DTR065)和教育部人文社会科学项目(23YJCZH104)的资助。
研究成果已发表于Social Science & Medicine。心理所在读博士生张思琦为论文第一作者,饶俪琳研究员为通讯作者。论文合作作者包括心理所博士研究生李明晖(已毕业)、心理所在读硕士生李玉楚。
论文信息:Zhang, S.-Q., Li, M.-H., Li, Y.-C., & Rao, L.-L. Effects of childhood environments on the discernment of health misinformation. Social Science & Medicine 2025, 380, 118179. https://doi.org/10.1016/j.socscimed.2025.118179
附件下载: